一、选择题 (请单击正确选项前的单选按钮,每题3分)
1.下列哪些图像颜色模式是通过“新建”文件对话框无法实现的?( )  添加收藏  8人次
A、Lab模式
B、多通道模式
C、RGB模式
D、位图模式
2.一张图片的原稿的尺寸为8cm×5cm,若要扫描后使用175lpi印刷成尺寸为16cm×10cm的规格,请问在扫描时应选择多大的扫描分辨率进行扫描?( )  添加收藏  9人次
A、175 ppi
B、350 ppi
C、700 ppi
D、1400 ppi
3.内存采用段式存储管理有许多优点,但 ( ) 不是其优点。  添加收藏  22人次
A、分段是信息逻辑单位,用户不可见
B、各段程序的修改互不影响
C、地址变换速度快、内存碎片少
D、便于多道程序共享主存的某些段
4.现有四级指令流水线,分别完成取指、取作的时间依次为数、运算、传送结果四步操作。若完成上述操9ns、10ns、6ns、8ns。则流水线的操作周期应设计为 ( ) ns。  添加收藏  6人次
A、6
B、8
C、9
D、10
5.内存按字节编址,地址从90000H到CFFFFH,若用存储容量为16K×8bit器芯片构成该内存,至少需要的存储 ( ) 片。  添加收藏  0人次
A、2
B、4
C、8
D、16
6. ( ) 是一种面向数据流的开发方法,其基本思想是软件功能的分解和抽象。  添加收藏  26人次
A、结构化开发方法
B、Jackson系统开发方法
C、Booch方法
D、UML(统一建模语言)
7.采用UML进行软件设计时,可用 ( ) 关系表示两类事物之间存在的特殊/一般关系,用聚集关系表示事物之间存在的整体一部分关系。  添加收藏  5人次
A、依赖
B、聚集
C、泛化
D、实现
8.某项目制定的开发计划中定义了3个任务,其中任务A首先开始,且需要3周完成,任务周完B必须在任务A启动1周后开始,且需要2周完成,任务C必须在任务A后才能开始,且需要完成2周完成。该项目的进度安排可用下面的甘特图 ( ) 来描述。  添加收藏  0人次
A、
B、
C、
D、
9.下列叙述中错误的是 ( ) 。  添加收藏  0人次
A、面向对象程序设计语言可支持过程化的程序设计
B、给定算法的时间复杂性与实现该算法所采用的程序设计语言无关
C、与汇编语言相比,采用脚本语言编程可获得更高的运行效率
D、面向对象程序设计语言不支持对一个对象的成员变量进行直接访问
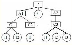
10.在下图所示的树型文件系统中,方框表示目录,圆圈表示文件,“/”表示路径中的分隔符,“/”在路径之首时表示根目录。图中, (25) 。假设当前目录是A2,若进程A 以如下两种方式打开文件f2: 方式① fd1=open(″(26) /f2″,o_RDONLY); 方式② fd1=open(″/A2/C3/f2″,o_RDONLY); 那么,采用方式①的工作效率比方式②的工作效率高。(25)、(26)处分别填()。
  添加收藏  29人次
A、(25)根目录中文件f1与子目录C1、C2和C3中文件f1相同 (26) /A2/C3
B、(25)子目录C1中文件f2与子目录C3中文件f2是相同的 (26) A2/C3
C、(25)子目录C1中文件f2与子目录C3中文件f2是不同的 (26) f2
D、(25)子目录C1中文件f2与子目录C3中文件f2可能相同也可能不相同 (26) C3
11.依据我国著作权法的规定, ( ) 属于著作人身权。  添加收藏  0人次
A、发行权
B、复制权
C、署名权
D、信息网络传播权
12.E1载波把32个信道按 (11) 方式复用在一条2.048Mb/s的高速信道上,每条话音信道的数据速率是 (12) 。两处分别填写正确的是( )。 (注解:E载波由欧洲CEPT(邮政和通信管理会议)定义并在欧洲、墨西哥和南美国家使用。T载波是NADH(北美数字分级体系)的一部分。CEPT格式定义如何格式化数字信息并将其复用到传输系统中。通信公司使用它来链接远程电话交换局并普遍用于用户到通信公司的接入链路。)  添加收藏  26人次
A、空分多路 56kb/s
B、时分多路 64kb/s
C、波分多路 128kb/s
D、频分多路 512kb/s
13.下图的两种编码方案分别是 ( ) 。
  添加收藏  0人次
A、①差分曼彻斯特编码,②双相码
B、①NRZ编码,②差分曼彻斯特编码
C、①NRZ-I编码,②曼彻斯特编码
D、①极性码,②双极性码
14.假设模拟信号的最高频率为5MHz,采样频率必须大于 (14) ,才能使得到的样本信号不失真,如果每个样本量化为256个等级,则传输的数据速率是 (15) 。   (14)A.5MHz B.10MHz C.15MHz D.20MHz   (15)A.10Mb/s B.50Mb/s C.80Mb/s D.100Mb/s  添加收藏  24人次
A、(14)5MHz (15)10Mb/s
B、(14)10MHz (15)80Mb/s
C、(14)15MHz (15)50Mb/s
D、(14)20MHz (15)100Mb/s
15.IPv6地址以16进制数表示,每4个16进制数为一组,组之间用冒号分隔,下面的IPv6地址ADBF:0000:FEEA:0000:0000:00EA:00AC:DEED的简化写法是 ( ) 。  添加收藏  0人次
A、ADBF:0:FEEA:00:EA:AC:DEED
B、ADBF:0:FEEA::EA:AC:DEED
C、ADBF:0:FEEA:EA:AC:DEED
D、ADBF::FEEA::EA:AC:DEED
16.浏览器与Web服务器通过建立 ( ) 连接来传送网页。  添加收藏  0人次
A、UDP
B、TCP
C、IP
D、RIP
17.在TCP协议中,采用 ( ) 来区分不同的应用进程。  添加收藏  0人次
A、端口号
B、IP地址
C、协议类型
D、MAC地址
18.ARP协议的作用是由IP地址求MAC地址,ARP请求是广播发送,ARP响应是 ( ) 发送。   添加收藏  0人次
A、点播
B、组播
C、广播
D、单播
19.()服务的主要作用是提供远程登录服务。  添加收藏  人次
A、Email
B、FTP
C、Telnet
D、HTTP
20.”入侵检测“在执行入侵检测行为时,其第一步是(   )。  添加收藏  26人次
A、收集信息
B、信息分析
C、数据包过滤
D、数据包检测
21.已知汉字”和“的区位码是2645,则机内码是().  添加收藏  人次
A、C6E5 H
B、3A4D H
C、A6CS H
D、BACD H
22.下列关于多媒体信息的述中错的是()。  添加收藏  人次
A、在计机中用T和F表示多媒体信息的值
B、声音信号是模拟信号计算机处理时需专转换成教字声音信号
C、在计算机中图形、图像和视频必须用数化形式来表示
D、WAV是声文的格式,JPEG是图像文件格式
23.若机器字长为8位,则可表示出十进制整数-128的编码是()。  添加收藏  人次
A、原码
B、反码
C、补码
D、ASCII
24.显示器的(),显示的图像越清晰,质量也就越高  添加收藏  人次
A、亮度越低
B、对比度越大
C、分辨率越高
D、刷新频率越高
25.关于Photoshop中图层的说法不止确的是()  添加收藏  人次
A、背景图层可以被删除
B、效果图层只包含些图层的样式,而不包括任何图像的信息
C、蒙版层中与蒙板的白色部分相对应的图像呈不透明状态
D、对文本层栅格化后才能将其移动
26.某用户电脑视频会议时网络时断时续,掉线频繁,导致这样问题的原因不可能是()。  添加收藏  人次
A、用户电脑的网线水晶头老化,有接触不良的情况
B、用户的电脑中了病毒
C、用户电脑所处的网段有广播风暴产生,导致交换机转发延时或丢包
D、用户的电脑网关设置不正确
27.列车调度系统、导弹拦截系统等都属于计算机应用中的()。  添加收藏  人次
A、数字计算领域
B、自动控制领域
C、数据处理领域
D、辅助设计领域
28.”信创产业“应首先从政府和关键行业的”国产化替代“开始,而国产化的主要方向不包括()。  添加收藏  人次
A、操作系统替换
B、高端数据库
C、CPU替换
D、人工智能应用
29.下列关于矢量图的叙述中错误的是()。  添加收藏  人次
A、如CAD系统常用矢量图来描述复杂的几何图形
B、是根据几何特性来绘制的
C、图形的元素是一些点、直线、弧线等
D、图形任意放大或缩小后,清晰度会明显的变化
30.下列关于特洛伊木马病毒的叙述中不正确的是()。  添加收藏  人次
A、特洛伊木马程序一股分为服务端和客户端
B、特洛伊木马的隐蔽性是其最重要的特征
C、特洛伊木马必须是自动启动和运行的程序
D、特洛伊木马以感染其它程序为目的,通过网络进行主动复制传播
31.在非对称密匙系统中,甲向乙发送机密信息,乙利用()解密该信息  添加收藏  人次
A、甲的公钥
B、甲的私钥
C、乙的公钥
D、乙的私钥
32.操作系统中对”文件“的确切定义应该是()。  添加收藏  人次
A、用户手写的程序和文档
B、打印在纸上的程序和文档
C、显示在屏幕上的程序和文档
D、记录在存储介质上的程序和文档
33.下列关于计算机主板的叙述中错误的是()。  添加收藏  人次
A、主板的可扩展性决定了计算机系统的升级能力
B、已经安装在ATX型主板上的CPU不能进行更换
C、主板是构成计算机系统的基础
D、主板的性能决定了所插部件性能的发挥
34.若获得你的本地(Windows系统)计算机的IP设置,应使用以下()命令。  添加收藏  人次
A、ifconfig
B、ipconfig
C、show ip
D、winipcfg
35.下列关于地址的叙述中正确的是()。  添加收藏  24人次
A、任何以127开头的IP地址都叫回送地址
B、32位全是1的IP地址是有限广播地址,实际就是组播地址
C、C类网络中最多可以使用的IP地址个数是255个
D、D类IP地址主要用于电视会议、视频点播,它实际是广播地址
36.cookies的类型是”小型文本文件“,它的作用是()  添加收藏  人次
A、保存浏览网站的历史记录
B、提供浏刘览器视频播放插件
C、保存访问站点的缓存数据
D、服务器存储在用户本地端的数据
37.为了解决某一特定问题而设计的指令序列称为()。  添加收藏  人次
A、计算机语言
B、计算机软件
C、计算机程序
D、计算机文件
38.RISC计算机是指()。  添加收藏  人次
A、精简指令系统计算机
B、数字逻辑电路计算机
C、复杂指令计算机
D、超大规模集成电路计算机
39.在Windows环境中保存新文件的三要素是()。  添加收藏  人次
A、文件类型、保存长度、主文件名
B、保存时间、文件属性、文件类型
C、主文件名、保存属性、保存类型
D、主文件名、文件类型、保存位置
40.选项中都是系统软件的是()。  添加收藏  人次
A、Office2016、UNX
B、MySQL、金山WPS
C、Linux、photoshop cs6
D、银河麒麟、Windows10
41.下列关于存储的叙述中正确的是()。  添加收藏  人次
A、内存容量的基本计量单位是位(bit)
B、1TB=1024KB
C、内存包括主存和辅存
D、硬盘存储容量=磁头数×磁道数×扇区数每扇区字节数
42.在计算机领域中通常用MIPS来描述()。  添加收藏  人次
A、计算机的浮点运算能力,即精确度
B、计算机的存储量大的特性
C、计算机的逻辑判断能力
D、计算机的运算速度
43.以下网络拓扑结构中不能实现数据双向传输的是()。  添加收藏  人次
A、星型结构
B、网状结构
C、环型结构
D、总线结构
44.在浏览器输入www.jngk.net.cn进行访问时,首先执行的操作是()。  添加收藏  人次
A、域名解析
B、解释执行
C、发送页面请求报文
D、建立TCP连接
45.下列选项中扩展名是视频文件的是()。  添加收藏  人次
A、AVI
B、WAV
C、MIDI
D、MP3
46.信息在不同网络设备之间传输时要进行数据封装,下面正确的数据封装顺序是()  添加收藏  人次
A、数据、帧、分组、数据段、比特
B、数据段、数据、分组、帧、比特
C、数据、数据段、分组、帧、比特
D、数据、数据段、顿、分组、比特
47.CPU是一块超大规模集成电路,其主要部件有().  添加收藏  人次
A、运算器、控制器、系统总线
B、控制器、存储器、寄存器组
C、运算器、控制器、寄存器组
D、运算器、寄存器组、内存器
48.通过MAC地址前24位可以查询到某网络设备的()。  添加收藏  人次
A、主机名
B、生产厂商信息
C、设备的IP地址
D、所在网络的信息
49.子网掩码为255.255.255.224,与10.130.12.29属于同一网段的主机P地址是()。  添加收藏  人次
A、10.130.12.30
B、10.130.12.32
C、10.130.12.56
D、10.130.12.41
50.下列关于”图像数字化“的描述错误的是()。  添加收藏  人次
A、把模拟图像转变成电子信号,随后才将其转换成数字图像信号
B、图像的数字化过程主要分采样、量化、编码三个步骤
C、数字图像便于通过网络分享传播
D、量化的结果是图像容纳的像素点总数,它反映了采样的质量
Copyright 2010-2025 版权所有 本在线考试系统由玩一玩网(www.wanyiwan.com)提供